• 欢迎来到伟德bv1946官网!公司主营:伟德官网稳定版下载、换热器、表冷器、伟德手机1949、管壳式换热器
  • 联系我们  |  English
  • 国家高效节能技术领先者十年专注betvlctor26伟德研发制造
    020-86820384

    新闻资讯

    常见问答
    换热器是什么|换热器原理|换...
    换热器是什么|换热器原理|换热器型号含义|换热器种类|换热器选型|换热器设计|换热...
    表冷器的工作原理及作用图片...
    表冷器的工作原理及作用图片_表冷器的工作原理及作用
    表冷器的用处有哪些?
    简单介绍下表冷器的用处
    翅片式散热器产品,故障调查...
    对于翅片式betvlctor26伟德故障事故分析,一般要进行故障事故调查、技术检验与鉴定、综合...
    烟气冷却器分为哪几种?
    工业废气回收有什么处理办法
    通过热交换原理,将高温气体携带的热量部分回收,降低气体温度,同时将回收的部分余...
    一台燃气伟德手机1949多少钱?
    燃气伟德手机1949多少钱?伟德手机1949是通过热交换原理对烟气携带的余热回收利用。对于...
    【分享】表冷器在制作工序上...
    烘房换热器翅片管哪种材质好
    空气换热器这几种翅片特点,...
    空气换热器翅片管强化加热原理:在加热的原理上,通过更换换热管,使用具有更大表面...
    擎立新闻
    您现在的位置:首页 » 1946伟德001 » 擎立新闻

    betvlctor26伟德主要部件的分类和代号

    2015-09-08 13:47:06 擎立换热器 www.mccgwi.com 点击数:

    betvlctor26伟德主要部件的分类和代号

    一、壳体型式分类表:

    换热设备主要部件分类

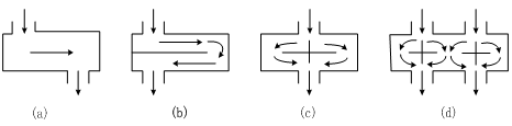
    二、壳程的型式

    壳程型式

    a)单壳程:

    b)双壳程:壳体内放入纵向隔板,可以提高壳程流通、改善热效应,比两个换热器串联要便宜。

    c)分流式:适用于大流量且低压降要求的情况,当用作冷凝器时,当中的隔板可采用有孔板。

    d)双分流式:适用于低压降、当一种流体比另一种流体温度变化很小的情况,以及适用于温差很大或管程膜传热系数很大的情况。

     

    相关内容
    Baidu
    map